
Many economic outcomes are qualitative in nature
Grouped into categories
Work or not
Drive, take bus, cycle to work
Number of visits to Doctor
People sometimes use alternative methods in this context
In this section we cover models for these types of variables
Start with the same potential outcomes setup
\(y_{1}\) is the outcome with treatment
\(y_{0}\) is the outcome without treatment
\(w\) is a binary variable with 1 denoting treatment, and 0 no treatment
We observe \((y, w)\), where
\[y = y_{0} + (y_{1} -y_{0})w\]
\[y_{0} \in \{0,1\}\] \[y_{1} \in \{0,1\}\]
\[E(y|w=1) - E(y|w=0)\] \[= \left [ E(y_{1}|w=1) - E(y_{0}|w=1) \right ] + E(y_{0}|w=1) - E(y_{0}|w=0)\]
First part is ATT, second part is selection bias
Mechanics are the same as when we had continuous outcomes
There is a difference in interpretation
\(y\) is a Bernoulli random variable,
\[E(y|w) = 1 \times Pr(y=1|w) + 0 \times Pr(y=0|w) = Pr(y=1|w)\]
So you can restate the difference in observed means as
\[Pr(y=1|w=1) - Pr(y=1|w=0)\] \[= \left [ Pr(y_{1}=1|w=1) - Pr(y_{0}=1|w=1) \right ] + Pr(y_{0}=1|w=1) - Pr(y_{0}=1|w=0)\]
You can interpret as the difference in response probabilities
Difference in response probabilities is causal effect if
Independence of potential outcomes
Mean independence of potential outcomes
Conditional mean independence of potential outcomes
What the above says is that regression still works when the treatment is binary
Causal effects depend on same assumptions as before
To estimate, use OLS regression of \(y\) on \(w\)
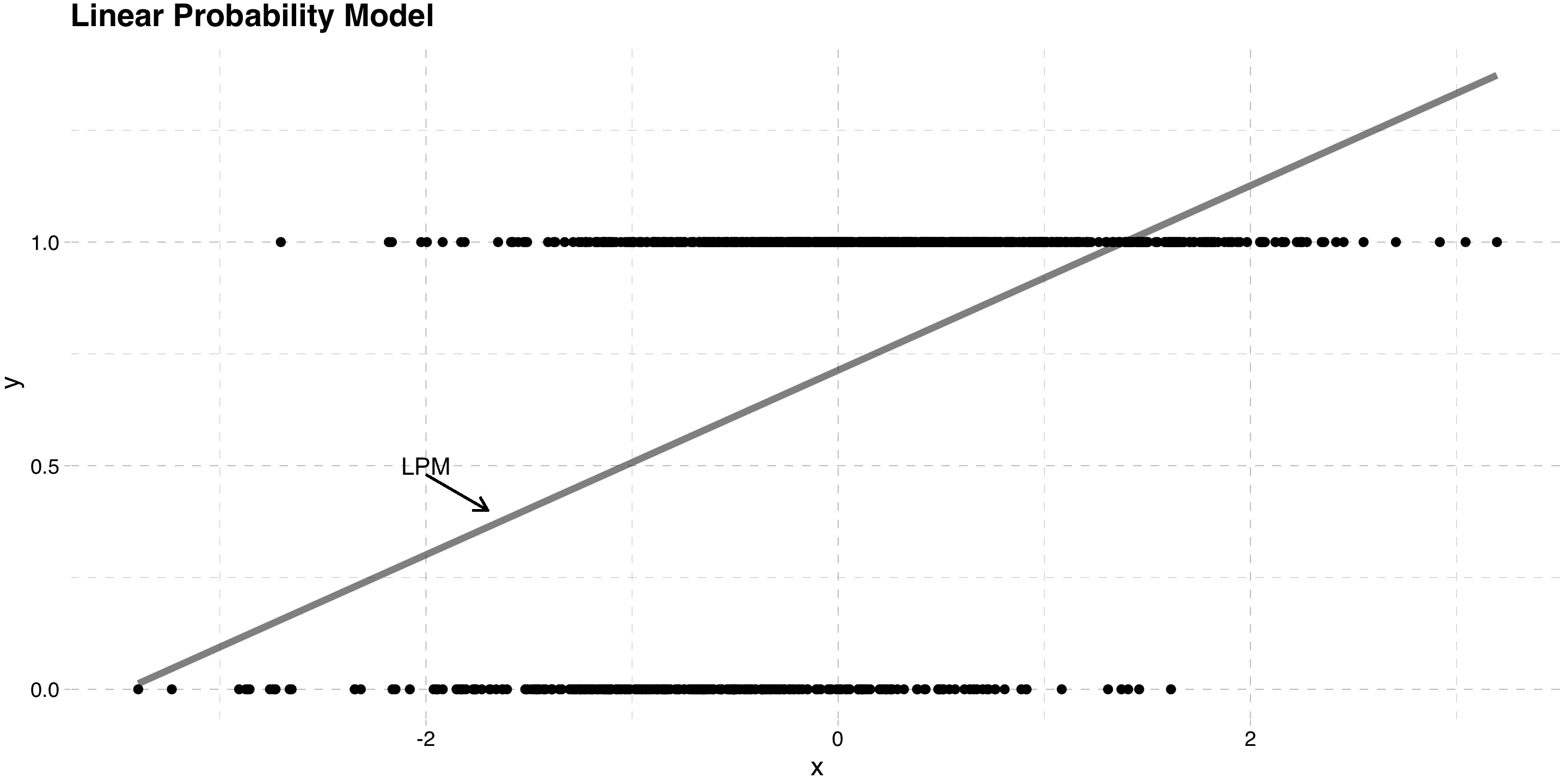
When \(y\) is binary, this is called the Linear Probability Model
Main problem is predicted probabilities can go outside [0,1] interval
Mainly a problem of predictions
In most economic applications, we care about the slope
The model exhibits heteroskedasticity
The population least squares regression of \(y\) on \(w\) is
\[y = \beta_{0} + w\beta_{1} + u\]
\[Var[u|w] = Var[y|w] = E[y^2|w] - E[y|w]^2\]
\[Var[y|w] = E[y|w] - E[y|w]^2\]
\[= E[y |w] (1-E[y|w])\]
\[Var[u|w] = Pr(y=1|w) (1-Pr(y=1|w))\]
This means that the variance of the error term is a function of \(w\)
It introduces heteroskedasticity into the model
Solution: use heteroskedasticity robust standard errors
In some cases we may want to fix the predicted probability issue
One way to do this is to feed the model through a CDF
This is often motivated with an index model
Suppose we model some latent variable \(y^*\) as
\[y^* = \beta_{0} + \beta_{1}w + e\]
Issue is we do not observe \(y^*\)
Instead, we observe the binary \(y\) where
\[y = 1\{y^*>0\}\]
\[y = 1\{\beta_{0} + \beta_{1}w +e>0\}\]
\[Pr(y=1|w) = Pr(\beta_{0} + \beta_{1}w +e>0 |w)\]
\[Pr(y=1|w) = Pr(e > -\beta_{0} - \beta_{1}w |w)\] \[ =1 - F(-\beta_{0} - \beta_{1}w)\] \[ =F(\beta_{0} + \beta_{1}w)\]
\(F()\) is the probability distribution of \(e\)
The probability that \(y\) equals 1 depends on
Treatment status \(w\)
The distribution of \(e\)
Different choices for \(F()\) distribution lead to different models
\[Pr(y=1|w) = \Phi \left(\frac{\beta_{0} + \beta_{1}w}{\sigma^{2}_{e}} \right)\]
\[\Phi (z) = \int_{-\infty}^{z} \frac{1}{\sqrt{2\pi}} e^{\frac{-v^2}{2}}\,dv\]
Because \(\Phi(.)\) is a CDF, \(Pr(y=1|w)\) is always between 0 and 1
\[Pr(y=1|w = 1) - Pr(y=1|w=0)\] \[= \Phi \left(\frac{\beta_{0} + \beta_{1}}{\sigma^{2}_{e}} \right) - \Phi \left(\frac{\beta_{0}}{\sigma^{2}_{e}} \right)\]
Notice that \(\beta_{1}\) does not equal the difference in response probabilities
They are the slopes in the index model
The index model parameters are not usually of interest
To get the difference in response probabilities, feed parameters into the CDF first
In nonlinear models, parameters are not “marginal effects”
\[Pr(y=1|\mathbf{x}) = \Phi \left(\frac{\mathbf{x}\boldsymbol{\beta}}{\sigma^{2}_{e}} \right)\]
\[\frac{\partial Pr(y=1|\mathbf{x})}{\partial x_{j}} = \phi \left(\frac{\mathbf{x}\boldsymbol{\beta}}{\sigma^{2}_{e}} \right) \frac{\beta_{j}}{\sigma^{2}_{e}}\]
This is a function of the entire vector \(\mathbf{x}\)
You need to specify their values to get the marginal effect
Normally people hold them at the mean
In theory you can get a distribution of marginal effects
\[Pr(y=1|w) = \Lambda \left(\frac{\beta_{0} + \beta_{1}w}{\sigma^{2}_{e}} \right)\]
where
\[\Lambda (z) = \frac{e^z}{1+e^z}\]
Again, because \(\Lambda(.)\) is a CDF, \(Pr(y=1|w)\) is always between 0 and 1
\[Pr(y=1|w = 1) - Pr(y=1|w=0)\] \[= \Lambda \left(\frac{\beta_{0} + \beta_{1}}{\sigma^{2}_{e}} \right) - \Lambda \left(\frac{\beta_{0}}{\sigma^{2}_{e}} \right)\]
\[Pr(y=1|\mathbf{x}) = \Lambda \left(\frac{\mathbf{x}\boldsymbol{\beta}}{\sigma^{2}_{e}} \right)\]
\[\frac{\partial Pr(y=1|\mathbf{x})}{\partial x_{j}} = \Lambda \left(\frac{\mathbf{x}\boldsymbol{\beta}}{\sigma^{2}_{e}} \right) \left( 1-\Lambda \left(\frac{\mathbf{x}\boldsymbol{\beta}}{\sigma^{2}_{e}} \right) \right)\frac{\beta_{j}}{\sigma^{2}_{e}}\]
Both models usually estimated by Maximum Likelihood
Method maximizes the probability of getting our sample by choosing parameters
The probability distribution of \(y_i\) is
\[f(y_i| \mathbf{x_{i}};\boldsymbol{\beta})= F \left(\frac{\mathbf{x_{i}}\boldsymbol{\beta}}{\sigma^{2}_{e}} \right)^{y_i} \left(1- F \left(\frac{\mathbf{x_{i}}\boldsymbol{\beta}}{\sigma^{2}_{e}} \right) \right) ^{1-y_{i}}\]
\[f(\mathbf{y}| \mathbf{X};\boldsymbol{\beta})=\Pi_{i=1}^n F \left(\frac{\mathbf{x_{i}}\boldsymbol{\beta}}{\sigma^{2}_{e}} \right)^{y_{i}} \left(1- F \left(\frac{\mathbf{x_{i}}\boldsymbol{\beta}}{\sigma^{2}_{e}} \right) \right) ^{1-y_{i}}\]
\[\mathcal{L}(\boldsymbol{\beta}|\mathbf{y}, \mathbf{X})=\Pi_{i=1}^n F \left(\frac{\mathbf{x_{i}}\boldsymbol{\beta}}{\sigma^{2}_{e}} \right)^{y_{i}} \left(1- F \left(\frac{\mathbf{x_{i}}\boldsymbol{\beta}}{\sigma^{2}_{e}} \right) \right) ^{1-y_{i}}\]
Both models usually estimated by Maximum Likelihood
Method maximizes the joint probability of \(y\) values conditional on \(\mathbf{x}\)
In the case of a binary \(y\), the likelihood function is
\[f[y| \mathbf{x};\boldsymbol{\beta}]=P[Y_{1} = y_{1}, Y_{2} = y_{2}, \ldots, Y_{n} = y_{n}|\mathbf{x_{i}};\boldsymbol{\beta}]\] \[=\Pi_{y_{i}=1}F \left(\frac{\mathbf{x_{i}}\boldsymbol{\beta}}{\sigma^{2}_{e}} \right) \Pi_{y_{i}=0} \left[1-F \left(\frac{\mathbf{x_{i}}\boldsymbol{\beta}}{\sigma^{2}_{e}} \right) \right]\] \[=\Pi_{i=1}^{n} F \left(\frac{\mathbf{x_{i}}\boldsymbol{\beta}}{\sigma^{2}_{e}} \right)^{y_{i}} \left[1-F \left(\frac{\mathbf{x_{i}}\boldsymbol{\beta}}{\sigma^{2}_{e}} \right)\right] ^{1-y_{i}}\]
Researchers usually focus on the log of the likelihood instead
It is a monotonic (increasing) transformation of the likelihood
The same parameter vector solves both versions
Log likelihoods are easier to work with
Log Likelihood \[ln\mathcal{L}(\boldsymbol{\beta}|\mathbf{y}, \mathbf{X})= \sum_{i=1}^{N}\{ y_{i}lnF \left(\frac{\mathbf{x_{i}}\boldsymbol{\beta}}{\sigma^{2}_{e}} \right)+ (1-y_{i})ln (1-F \left(\frac{\mathbf{x_{i}}\boldsymbol{\beta}}{\sigma^{2}_{e}} \right)) \}\]
To solve this equation, you need numerical methods
In ML environments, the estimated variance of \(\boldsymbol{\hat{\beta}}\) is estimated as the negative of the expected value of the Hessian (information matrix) \[\hat{Var}(\boldsymbol{\hat{\beta}}) = -E[(\frac{\partial^2 lnL}{\partial\boldsymbol{\hat{\beta}} \partial \boldsymbol{\hat{\beta}^{'}}})^{-1}]\] \[= (\sum_{i=1}^{n} \frac{f(\mathbf{x_{i}^{'}}\boldsymbol{\hat{\beta}})^2 }{ F(\mathbf{x_{i}^{'}}\boldsymbol{\hat{\beta}})(1- F(\mathbf{x_{i}^{'}}\boldsymbol{\hat{\beta}}) ) } \mathbf{x_{i}x_{i}^{'}} )^{-1}\]
where \(F(.)\) is either the Normal or Logistic CDF, and \(f(.)\) is the associated PDF
Simple tests for coefficient significance is done by the usual \(t\)-test method
Assume \(\boldsymbol{\hat{\beta}}\) has normal distribution (asymptotically)
Test statistic \(Z = \frac{\hat{\beta}_{k}}{\hat{SE}(\hat{\beta}_{k})}\)
More complicated tests done using one of 3 methods:
Likelihood Ratio (LR) Test
Test statistic \(LR = 2[ln\hat{L}_{U} - ln\hat{L}_{R}]\)
\(ln\hat{L}_{R}\) is log likelihood evaluated at restricted parameter vector
Wald (W) Test
Test statistic \(W = \hat{g}^{'}[\hat{G}\hat{Var}(\boldsymbol{\hat{\beta}})\hat{G}^{'}]\hat{g}\)
\(\hat{g}\) is a vector of restrictions evaluated at \(\boldsymbol{\hat{\beta}}\)
\(\hat{G}\) is the derivative of a vector of restrictions evaluated at \(\boldsymbol{\hat{\beta}}\)
Lagrange Multiplier (LM) Test
Test statistic \(LM = \hat{d}^{'}[\hat{Var}(\boldsymbol{\hat{\beta}})]\hat{d}\)
\(\hat{d}\) is the derivative of \(lnL\) evaluated at restricted \(\boldsymbol{\hat{\beta}}\)
Restrictions can be linear or non-linear
Confusion Matrix
| Actual | |||
|---|---|---|---|
| Predicted | 0 | 1 | Total |
| 0 | # Correct 0 | # Incorrect 1 | # Pred 0 |
| 1 | # Incorrect 0 | #Correct 1 | # Pred 1 |
| Total | # True 0 | # True 1 |
Pseudo-\(R^{2}\)
McFadden \(\rightarrow\) \(R^{2} = 1 - \frac{ln\hat{L}_{U}}{ln\hat{L}_{0}}\)
Others are possible, but goodness of fit is not incredibly important
Arises when a continuous dependent variable is limited in its range
Censoring
Corner Solutions
Incidental Truncation
You can sometimes use OLS depending on context
We will cover models for censoring and corner solutions
\[y^{*} = \beta_{0} + \beta_{1}w + e\]
\[y = max \{ 0,y^* \}\]
This would be the case for things like consumer purchases
You spend zero or some positive amount
It is naturally bounded below by zero
\[E[y|w] = E[y|y>0,w]Pr[y>0|w]\]
\[E[y|w = 1] - E[y|w = 0]\] \[= E[y|y>0,w=1]Pr[y>0|w=1] - E[y|y>0,w=0]Pr[y>0|w=0]\] \[=(Pr[y>0|w=1]-Pr[y>0|w=1]) E[y|y>0,w = 1]\] \[+ (E[y|y>0,w = 1] - E[y|y>0,w = 0]) Pr[y>0|w=0]\]
There are two key pieces
Participation effect
Conditional on Positive effect
In terms of potential outcomes
\[E[y|w = 1] - E[y|w = 0]\] \[= E[y_1|w = 1] - E[y_0|w = 0]\] \[= E[y_1|w = 1] - E[y_0|w = 1] + E[y_0|w = 1] - E[y_0|w = 0]\]
The limited dependent variable does not change causal interpretation
In some contexts people run regressions with just the positive outcomes
Difference in observed \(y\) for this group is biased if under random assignment
\[E[y|y>0,w = 1] - E[y|y>0, w = 0]\] \[= E[y_1|y_1>0] - E[y_0|y_0>0]\] \[= E[y_1|y_1>0] - E[y_0|y_1>0] + E[y_0|y_1>0] -E[y_0|y_0>0]\]
The treatment changes who has positive values of potential outcomes
You cannot interpret conditional on positive effects as causal
This model is used in the context of censoring and corner solutions
We have data on a random sample
The outcome is limited in its range
There is a mass of observations at 1 or more values
Usually zeroes
Sometimes some upper amount, like income
Using OLS may be a bad strategy depending on your goals
\[y^{*} = \mathbf{x}\boldsymbol{\beta} + e, \text{ where } e \sim N(0,\sigma^2_{e})\] \[y = \text{max}(0,y^{*})\]
The conditional expectation of interest depends on context
Censored data
\(E[y^{*}|\mathbf{x}]\)
\(y^{*}\) usually has meaning when data are censored
Corner Solutions
\(E[y|\mathbf{x}]\) and \(E[y|y>0, \mathbf{x}]\)
\(y_{i}^{*}\) usually has no meaning for corner solutions
This is the most common situation
Estimate this model by maximum likelihood
The likelihood function has two pieces
When \(y_{i} = 0\)
\[Pr(y_{i} = 0| \mathbf{x}) = Pr(y_{i}^{*}<0 |\mathbf{x})\] \[= Pr(\mathbf{x}\boldsymbol{\beta} +e<0 |\mathbf{x})\]
\[= Pr(e>\mathbf{x}\boldsymbol{\beta} |\mathbf{x})\] \[= Pr(\frac{e}{\sigma_{e}}>\frac{\mathbf{x}\boldsymbol{\beta}}{\sigma_{e}} |\mathbf{x})\]
\[= 1-\Phi\left ( \frac{\mathbf{x}\boldsymbol{\beta}}{\sigma_{e}} \right)\]
\[f(y_{i} | y_{i}>0, \mathbf{x}) = \frac{1}{\sigma_{e}} \phi \left ( \frac{ y_{i} - \mathbf{x}\boldsymbol{\beta}}{\sigma_{e}} \right )\]
\[\mathcal{L}(\boldsymbol{\beta}|\mathbf{y}, \mathbf{X}) =\Pi_{y_{i}=0} \left(1-\Phi\left ( \frac{\mathbf{x}\boldsymbol{\beta}}{\sigma_{e}} \right) \right ) \Pi_{y_{i}>0} \left( \frac{1}{\sigma_{e}} \phi \left ( \frac{ y_{i} - \mathbf{x}\boldsymbol{\beta}}{\sigma_{e}} \right ) \right)\]
\[ln\mathcal{L}(\boldsymbol{\beta}|\mathbf{y}, \mathbf{X}) =\sum_{y_{i}=0} ln \left(1-\Phi\left ( \frac{\mathbf{x}\boldsymbol{\beta}}{\sigma_{e}} \right) \right ) + \sum_{y_{i}>0} ln\left( \frac{1}{\sigma_{e}} \phi \left ( \frac{ y_{i} - \mathbf{x}\boldsymbol{\beta}}{\sigma_{e}} \right ) \right)\]
Marginal effects will depend on the context of our estimation
Censored data \[\frac{\partial E[y^{*}|\mathbf{x}]}{\partial x_{k}} = \beta_{k}\]
Corner Solutions
\(\frac{\partial E[y|\mathbf{x}]}{\partial x_{k}} = \Phi(\frac{ \mathbf{x}\boldsymbol{\beta} }{\sigma})\beta_{k}\)
\(\frac{\partial E[y| y>0,\mathbf{x}]}{\partial x_{k}} = \{1-\lambda(\frac{ \mathbf{x}\boldsymbol{\beta} }{\sigma})[\frac{ \mathbf{x}\boldsymbol{\beta} }{\sigma} + \lambda(\frac{ \mathbf{x}\boldsymbol{\beta} }{\sigma})] \}\beta_{k}\)
With corner solutions it depends on what you want
You may want slope for random person, or conditional on \(y>0\)
It must be possible for the dependent variable to take values near the limit
Example: not the case with consumer durables
You either spend zero or a large amount
Intensive and Extensive margins have same parameters
Means the model is relatively inflexible
Can be solved by modelling each separately
Normality assumption
Care must be taken in interpreting the coefficients